Method based on FSM (Feature Space Mapping) neurofuzzy network.
Crisp rules: FSM + rectangular transfer functions.
Fuzzy rules: FSM + context-dependent fuzzy membership functions.

Transfer function

Examples of transfer function
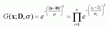
Gauss function


Rectangular function


Bicentral functions - soft trapezoidal functions
New node conditions

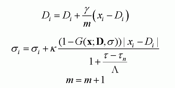
Adaptation of parameters

FSM network with rectangular transfer function
R1:
C4
-4.89 Iris_setosa
+0.61 Iris_setosa
R2
C3 C4
0.66 0.65 Iris_versicolor
4.90 1.51 Iris_versicolor
5 incorrect classifications
Spiral data
FSM network with Gaussian functions, 53 neurons

FSM network with Gaussian functions, rotations enabled, 59 neurons

Other applications of FSM: as neural network, neurofuzzy system, prototype-based system or heuristics for search- based reasoning.
Example: any law of the form A=B*C or A=B+C, here Ohm's law V=I*R, has 13 true facts, 14 false facts.
